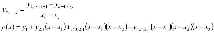
A Newton polynomial which interpolates n points
(x1, y1), ..., (xn, yn) is defined according
to the formula shown in Figure 1.

Figure 1. The definition of the Newton polynomial coefficients and the
resulting polynomial passing through four points.
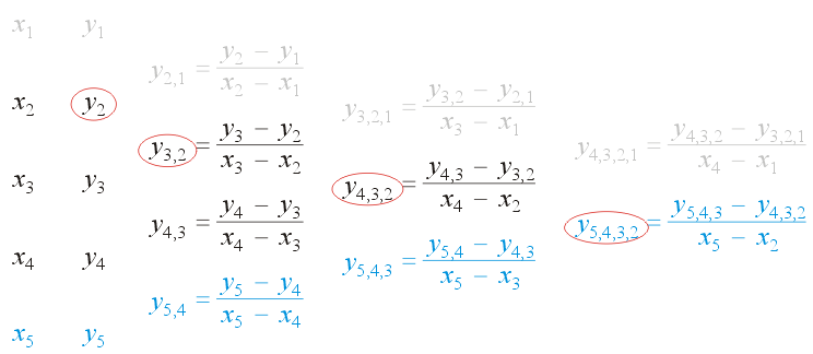
The coefficients of a Newton polynomial are calculated using a table of
divided differences. This is an application of dynamic programming—by
simply using the the definition of the coefficients of the Newton
polynomial, this would produce a
formula which may be described by
T(n) = 2T(n − 1) + Θ(1)
which implies that the function has T(n) = Θ(2n)
calculations and therefore an exponential run time; however, many of these calculations are
repeated. These repeated subproblems are the hallmark of an algorithm suitable for a dynamic
program. Figure 2 demonstrates the table of divided differences with
the Newton polynomial coefficients circled in red.

Figure 2. The table of divided differences for finding the Newton
polynomial passing through four points.
Run-Time
Using a divided-difference table, the run-time for calculating
the coefficients of the Newton polynomial is reduced to
Θ(n2).
Memory
The divided-difference table has Θ(n2)
entries; however, with the exception of the first entry which is one
of the coefficients of the Newton polynomial, once the balance of the
first column has been used to calculate the second, those values are
no longer required. Consequently, the coefficients of the Newton
polynomial using the divided-difference table may be calculated
with Θ(n) memory. This is demonstrated in Figure 3.

Figure 3. Calculating the Newton polynomial coefficients in a single
array of size n.
Extending Newton Polynomials
The exception to this observation is when one is using Newton
polynomials with time series: for example, given the points
(x1, y1), ..., (xn, yn),
and having calculated the Newton polynomial for these n
points, given the next point
(xn + 1, yn + 1),
we may wish to calculate the Newton polynomial of the same degree
but passing through the points
(x2, y2), ...
(xn, yn), (xn + 1, yn + 1).
This may be done by reusing a significant portion of the previously calculated
divided difference table; it requires the calculation of only one more
diagonal as is shown in Figure 4 which adds a fifth point onto the table
of divided differences.

Figure 4. Adding one more point onto the table of divided differences.
One should be warned against calculating a polynomial of degree four
in this case: the higher the degree of the polynomial, the more likely
the error is to be magnified. The reader is asked to read any suitable
reference on polynomial wiggle and Runge's phenomenon.
By storing the divided-difference table, it is possible to calculate
the new Newton polynomial in Θ(n) time but it requires
that the entire table be kept in memory: Θ(n2).
The updated table of divided differences is shown in Figure 5.

Figure 5. Updating the table of divided differences to calculate the
Newton polynomial interpolating through the second through fifth points.
Horner's Rule
As a side note, many text books teach Newton polynomials without
teaching the only efficient means of evaluating these polynomials:
Horner's rule. This allows numerically stable evaluation with
Θ(1) memory and Θ(n) time.
Dynamic Evaluation
One feature of Newton polynomials not often explained nor demonstrated
is the construction of the Newton polynomial from the divided-difference table.
The divided-difference table gives 2N − 1 different paths of
construction, all of which define an interpolating polynomial of the same
N points. To minimize the error, one must evaluate that path which
starts from the tip of the triangle and moves in the direction away from the
x-value furthest from the point being evaluated. This avoids a
multiplication by the largest term of the form
(x − xj). This ensures that
successive terms in the Newton polynoimal decay quickly leaving the yk
closest to the point of evaluation plus the smallest possible correction with a linear
term.
Specifically, if the x values are ordered, the optimal interpolating
Newton polynomial to evaluate a point in the neighbourhood of the first point
is
y1
+ y21(x − x1)
+ y321(x − x1)(x − x2)
+ y4321(x − x1)(x − x2)(x − x3)
Such an evaluation may be found using evaluate( x, BACKWARD ), as we are traversing
the upper edge of the divided-difference table back towards the least-recently added point.
The optimal interpolating Newton polynomial to evaluate a point in the
neighbourhood of the last point is
y4
+ y43(x − x4)
+ y432(x − x4)(x − x3)
+ y4321(x − x4)(x − x3)(x − x2)
Such an evaluation may be found using evaluate( x, FORWARD ), as we are traversing
the lower edge of the divided-difference table towards the most-recently added point.
Suppose, however, that the four x-values are ordered and equally spaced and the point
of evaluation is close to, but less than the 3rd point. In this case, the optimal interpolating
Newton polynomial would be:
y3
+ y32(x − x3)
+ y432(x − x3)(x − x2)
+ y4321(x − x3)(x − x2)(x − x4)
This selection may be done with Θ(1) additional work (a comparison of two float differences) and
therefore does not asymptotically affect the run time. From experiments, it increases the run time by less than
a factor of 2 (approximately 80%). See the implementation for details.
To demonstrate this, Figures 6, 7, and 8 show the error of evaluating the
Newton polynomial at 4097 points on [2, 6] using the forward, backward, and closest evaluating methods for
the polynomial interpolating (2, sin(2)), (3, sin(3)), (4, sin(4)), (5, sin(5)), and (6, sin(6)).
In the forward case, the evaluation of the points near x = 2 has the
least numerical error; while in the backward case, the evaluation near
x = 6 has the least error.

Figure 6. The absolute error of evaluating the Newton polynomial in the forward direction.

Figure 7. The absolute error of evaluating the Newton polynomial in the backward direction.

Figure 8. The absolute error of evaluating the optimal Newton polynomial for each point.
Note that this is not the error between the polynomial and the function being interpolated (in this case, sin(x)), but
rather the error between the evaluated double-precision floating-point number and the actual value of the
interpolating polynomial which explicitly interpolates the given points. Note also that these display the
absolute error: for evaluating values of sin(x) where |sin(x)| is small, the absolute error is also small.
Optimization on Path Choice
If the points are ordered spaced, there are only 2(N − 1)
paths which would be used to construct the Newton polynomial. For example, Figure 9 shows
the six possible Newton polynomials which optimally evaluate values of x on various
subintervals.

Figure 9. The six possible optimal Newton polynomials for evaluating various
values of x.
If the points are ordered and equally spaced,
the choice of path may be determined by the
formula Δ = (xn − x1)/(n − 1) and
min( max( 0, floor( (x - x1)/Δ + 1 ) ), 2n - 1 ).
If the points are unordered, such a restriction to
the number of paths would not be possible.
Figure 10 shows the eight possible paths of evaluation for the interpolating Newton polynomials
on five ordered spaced points.

Figure 10. The eight possible optimal Newton polynomials for evaluating various
values of x for interpolating five points.
Comparing Optimal Newton Polynomial Evaluation and Simple Polynomial Evaluation
The expanded polynomial interpolating the five points
is
.
Figure 11 shows the errors when evaluating this expanded polynomial at points on the interval
in magenta
and the optimal Newton polynomial evaluation. In almost all cases, the optimal Newton polynomial evaluation produces the closest
floating-point number to the actual value of the polynomial evaluated at that point. Using standard evaluation of the expanded
polynomial, the error can be 200% higher, and this is is under almost ideal conditions.

Figure 11. The errors when evaluating the optimal Newton polynomial (black) and the evaluation
of the expanded polynomial for the five points
.
Note that these are almost ideal conditions for evaluating expanded polynomials. The error for
more standard cases is much higher.
Newton Polynomial
class Newton_polynomial<N, Type = double>
Constructors
Newton_polynomial<N, Type>()
The constructor initializes the state to the default zero
polynomial. It will store the coefficients of the
Newton polynomial which passes through the last N points.
It requires Θ(n2) memory.
Accessors
Type evaluate( Type const &x, direction dir = OPTIMAL ) const
Evaluate the Newton polynomial at the point x using Horner's rule.
The second argument defines the method of construction of the Newton polynomial:
for ordered values of x and an evaluation closest to the most recently added
point, use FORWARD, for an evaluation closest to the least recently added
point, use BACKWARD, and to use the most numerically stable dynamic construction
of the Newton polynomial for any situation other than those two already mentioned,
use OPTIMAL.
(O(N) time and Θ(1) memory)
Type x( int k ) const
Returns the entry xk where the order of the x-values are
x0,
x1, ...
xN − 1 with the first being the least recently
added and the last being the most recently added.
Type y( int j, int k ) const
Returns the entry yj, ..., k where
yk, k is the y value corresponding to
the x value xk and other values may be
calculated as shown above.
Mutators
void insert( Type const &x, Type const &y )
Insert a new point (x, y) and calculate the coefficients
of the Newton polynomial passing through the last N points.
The evaluation of Newton polynomials is most numerically stable when
the point x is closest to the least recently inserted x-value.
(O(N) time and Θ(1) memory)
void clear()
Reset the polynomial to the zero polynomial passing through no
points. (Θ(1))