[an error occurred while processing this directive] [an error occurred while processing this directive] [an error occurred while processing this directive] Skip to the content of the web site.

Octonions

The C++ classes Octonion<long double>, Octonion<double>, and Octonion<float> represent floating-point octonions of the form z = a + ib1 + jb2 + kb3 + ub4 + i1b5 + j1b6 + k1b7.

The symbols i, j, k, u1, i1, j1, and k1 follow the multiplication rules shown in Table 1.

Table 1. Multiplication rules for octonion symbols.

×   i   j   k   u1  i1  j1  k1
i −1    k j   i1u1k1  j1
j k −1    i   j1  k1u1i1
k   j i −1    k1j1  i1u1
u1 i1j1k1−1    i   j   k
i1   u1k1  j1i −1  k   j
j1   k1  u1i1j   k −1  i
k1 j1  i1  u1k j   i −1  

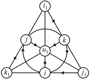
This is also shown in Figure 1 where arrows indicate the order of multiplication resulting in a positive product. For example, the lowest edge arrow would indicate that j1i = k1, and consequently, ik1 = j1, and k1j1 = i. These may be confirmed by referring to Table 1.

Figure 1. Multiplication of symbols.

Consequently, multiplication is not associative: (ij)u1 = ku1 = k1, but i(ju1) = ij1 = −k1.

Throughout this document, the variable z is used to represent *this object. The choice of u over e for the additional symbol relates mostly to the special nature of e in printing doubles. The template variable T represents the field of the coefficients.

Index



Constructors

There are two constructors

     Octonion( T a = 0 );
     Octonion( T a, T b1, T b2, T b3, T b4, T b5, T b6, T b7 );

which create the octonions a + 0i + 0j + 0k + 0u1 + 0i1 + 0j1 + 0k1 and a + ib1 + jb2 + kb3 + ub4 + i1b5 + j1b6 + k1b7, respectively.



Constants

There are nine static constants defined in each class:

There are five static constants defined in each class:

ZERO0
ONE 1
I i
J j
K k
U1 u1
I1 i1
J1 j1
K1 k1

The constants may be accessed through the array UNITS[8] = {ONE, I, J, K, U1, I1, J1, K1}.



Real-Valued Functions

Each of the real-valued member functions has the prototype T f() const; and has a corresponding procedural function T f( const Octonion<T> );.

real imag_i imag_j imag_k imag_u1 imag_i1 imag_j1
imag_k1 csgn abs norm abs_imag norm_imag arg

Descriptions of each of the functions follow:

real
Return the real component ℜ(z) = a.
imag_i
Return the imaginary component ℑi(z) = b1.
imag_j
Return the imaginary component ℑj(z) = b2.
imag_k
Return the imaginary component ℑk(z) = b3.
imag_u1
Return the imaginary component ℑu1(z) = b4.
imag_i1
Return the imaginary component ℑi1(z) = b5.
imag_j1
Return the imaginary component ℑj1(z) = b6.
imag_k1
Return the imaginary component ℑk1(z) = b7.
csgn
Return 0 if z = 0, 1 if a ≥ +0, and -1 if a ≤ -0.
abs
Return |z| = (zz*)½ unless either component is infinity, in which case, it always returns ∞.
norm
Returns |z|2 = zz* unless any component is infinity, in which case, it always returns ∞.
abs_imag
Returns the absolute value of the imaginary part of the octonion: |ℑ(z)| = (-ℑ(z)2)½.
norm_imag
Returns |ℑ(z)|2 = -ℑ(z)2.
arg
Return the argument of the octonion arg(z) = atan2( |ℑ(z)|, ℜ(z) ).

The function T operator [](int n) const returns the coefficient of the unit UNITS[n] for n = 0, 1, 2, ..., 7.



Octonion-Valued Functions

Each of these octonion-valued member functions has the prototype Octonion<T> f() const; and has a corresponding procedural function Octonion<T> f( const Octonion<T> );.

imag conj signum

Descriptions of each of the functions follow:

imag
Return the octonion 0 + ib1 + jb2 + ⋅⋅⋅ + k1b7.
cong
Return the octonion z* = aib1jb2 − ⋅⋅ − k1b7.
signum
Return the octonion z/|z| given z ≠ 0. If z = 0, then z is returned.


Squares and Inverses

Each of the square, square root, and inverse member functions has the prototype Octonion<T> f() const; and has a corresponding procedural function Octonion<T> f( const Octonion<T> );.

sqr sqrt inverse

Descriptions of each of the functions follow:

sqr
Calculate z2.
sqrt
Calculate the square root of z (that is, z½).
inverse
Calculate the inverse of z (that is, z-1).


Rotations

The member function Octonion<T> rotate( const Octonion<T> w ) const; and its associated procedural function Octonion<T> rotate( const Octonion<T> z, const Octonion<T> w ) calculates wzw*. If w has unit length and z is an imaginary quaternion, then this member function returns vector z rotated 2 arg(w) radians around the line defined by ℑ(w).



Powers

The power function is overloaded with two prototypes:

Octonion<T> pow( T ) Octonion<T> pow( Octonion<T> )
These calculate z raised to the power of the given argument. There are corresponding procedural functions Octonion<T> pow( const Octonion<T>, T ); and Octonion<T> pow( const Octonion<T>, const Octonion<T> );.



Exponential and Logarithmic Functions

Each of the exponential and logarithmic member functions has the prototype Octonion<T> f() const; and has a corresponding procedural function Octonion<T> f( const Octonion<T> );.

exp log log10

Descriptions of each of the functions follow:

exp
Calculate ez.
log
Calculate the natural logarithm ln(z).
log10
Calculate the base-10 logarithm log10(z).

Because of the loss of associativity, unless x and y commute, exp(x + y) ≠ exp(x)exp(y), log(xy) ≠ log(x) + log(y), and log10(xy) ≠ log10(x) + log10(y). For example,

eiej1 = 0.291927 + 0.454649i + 0.454649j1 − 0.708073k1,

but

ei + j1 = 0.155944 + 0.698456i + 0.698456j1.


Trigonometric and Hyperbolic Functions (and their Inverses)

Each of the trigonometric, hyperbolic, inverse trigonometric, and inverse hyperbolic member functions has the prototype Octonion<T> f() const; and has a corresponding procedural function Octonion<T> f( const Octonion<T> );.

 sin   cos   tan   sec   csc   cot 
 sinh  cosh  tanh  sech  csch  coth
asin  acos  atan  asec  acsc  acot 
asinh acosh atanh asech acsch acoth

For example, the sin function calculates the result of zz3/3! + z5/5! − z7/7! + z9/9! − z11/11! + ⋅⋅⋅ by using the formula

sin(z) = sin(a) cosh(|ℑ(z)|) + signum( ℑ(z) ) cos(a) sinh(|ℑ(z)|)

As with the exponential and logarithmic functions, because of the loss of associativity, the commonly understood trigonmetric identities no longer hold, for example,

sin(i + j1) = 1.3683i + 1.3683j1
cos(i + j1) = 2.17818

but

sin(i)cos(j1) + cos(i)sin(j1) = 1.81343i + 1.81343j1
cos(i)cos(j1) − sin(i)sin(j1) = 2.3811 + 1.3811k1;

however, double angle formulas continue to hold: sin(2x) = 2sin(x)cos(x) and cos(2x) = 2cos2(x) − 1.



Special Functions

Bessel functions of the first kind, Jn(z) are implemented for integer values of n. The prototype of the member function is Octonion<T> bessel_J( int ) const; and there is the corresponding procedural function Octonion<T> bessel_J( int, const Octonion<T>) const;.

Because the coefficients of the Taylor series for Bessel functions of the first kind are real, this function is well defined even for the non-commutative octonions.



Integer-Value Functions

Each of the integer-valued member functions has the prototype Octonion<T> f() const; and has a corresponding procedural function Octonion<T> f( const Octonion<T> );.

floor ceil

In both cases, the floor and ceiling, respectively, are calculated for each component.



Horner's Rule

The polynomial v0zn − 1 + v1zn − 2 + v2zn − 3 + ⋅⋅⋅ vn − 3z2 + vn − 2z + vn − 1 may be calculated efficiently using Horner's rule. The array v of n entries may be of type T *. The lack of commutativity dictates that the polynomial is not well defined from octonionic coefficients, hence the coefficients are restricted to real values.

     Octonion<T> horner( T * v, unsigned int n );

The Newton polynomial with offsets:       v0(z − cn − 1)(z − cn − 2)⋅⋅⋅(z − c3)(z − c2)(z − c1) +
      v1(z − cn − 1)(z − cn − 2)⋅⋅⋅(z − c3)(z − c2) +
      v2(z − cn − 1)(z − cn − 2)⋅⋅⋅(z − c3) + ⋅⋅⋅ +
  vn − 3(z − cn − 1)(z − cn − 2) +
  vn − 2(z − cn − 1) +
  vn − 1 may also be calculated efficiently using Horner's rule. The arrays v and c of n entries must be of type T *.

     Octonion<T> horner( T * v, T * c, unsigned int n );

Similarly, due to commutativity, the coefficients and the offsets must be restricted to real values.

Corresponding to each of this functions is a procedural function which takes the variable z as a first argument.



Binary Arithmetic Operators

All binary arithmetic operators operator ⋅ have the following prototypes:

operator ⋅ ( const Octonion<T> &, const Octonion<T> & ), operator ⋅ ( T, const Octonion<T> & ), and operator ⋅ ( const Octonion<T> &, T ). The standard operations are:

+ - * /

Note that z/w is defined as zw-1.



Unary Arithmetic Operators

The unary arithmetic operator operator - has the prototype operator - ( const Octonion<T> & ) and returns the negative of the octonion.



Assignment Operators

The assignment operators operator ⋅ have the prototypes operator ⋅ ( const Octonion<T> & ) and operator ⋅ ( T ) and appropriately modifies and returns this octonion. The operations are:

= += -= *= /=


Auto Increment and Auto Decrement Operators

The auto increment and auto decrement operators work on the real part of the octonion.



Binary Boolean Operators

All binary Boolean operators have the following prototypes:

operator ⋅ ( const Octonion<T> &, const Octonion<T> & ), operator ⋅ ( T, const Octonion<T> & ), and operator ⋅ ( const Octonion<T> &, T ). The standard operations are:

== !=

Descriptions of each of the functions follow:

operator ==
Returns true if all components return true under ==.
operator !=
Returns true if any components return true under !=.


Query Functions

Each of the following member functions has the prototype bool f() const; and returns a value based on the components of this octonion.

is_imaginary is_inf is_nan is_neg_inf
is_pos_inf is_real is_real_inf is_zero

Descriptions of each of the functions follow:

is_imaginary
Returns true if this octonion has a zero real component (of the form 0 + ib1 + jb2 + ⋅⋅⋅ + k1b7) and false otherwise.
is_inf
Returns true if any component of this is one of either +∞ or -∞ and false otherwise.
is_nan
Returns true if any component of this is NaN and false otherwise.
is_neg_inf
Returns true if this octonion is -∞ + 0i + 0j + ⋅⋅⋅ + 0k1 and false otherwise.
is_pos_inf
Returns true if this octonion is ∞ + 0i + 0j + ⋅⋅⋅ + 0k1 and false otherwise.
is_real
Returns true if this octonion has a zero imaginary component (of the form a + 0i + 0j + ⋅⋅⋅ + 0k1) and false otherwise.
is_real_inf
Returns true if this octonion is either +∞ + 0i + 0j + ⋅⋅⋅ + 0k1 or -∞ + 0i + 0j + ⋅⋅⋅ + 0k1 and false otherwise.
is_zero
Returns true if this octonion is 0 + 0i + 0j + ⋅⋅⋅ + 0k1 and false otherwise.


Static Factory Functions

Each of the following static factory functions has the prototype static Octonion<T> f() const; and returns a random octonion according to the following definitions:

random
r1 + ir2 + jr3 + kr4 + u1r5 + i1r6 + j1r7 + k1r8
random_real
r1 + 0i + 0j + ⋅⋅⋅ + 0k1.
random_imag
0 + ir2 + jr3 + kr4 + u1r5 + i1r6 + j1r7 + k1r8

where rk is a random real value.



Stream Operators

The stream operators have been overloaded to print and read octonions.